SOLUTION: Simplify: -24(a^4)(b^-3) divided by 3a(x^-2)b^7 Please help, I got stuck really quickly!

Algebra ->  Expressions -> SOLUTION: Simplify: -24(a^4)(b^-3) divided by 3a(x^-2)b^7 Please help, I got stuck really quickly!      Log On


   



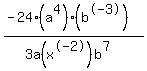
Question 1033373: Simplify:
-24(a^4)(b^-3)
divided by
3a(x^-2)b^7
Please help, I got stuck really quickly!

Answer by josgarithmetic(39618) About Me  (Show Source):
You can put this solution on YOUR website!
%28-24%28a%5E4%29%28b%5E-3%29%29%2F%283a%28x%5E-2%29b%5E7%29

What do you know of exponents rules? How about rules of reducing fractions and factoring?

%28-1%2A2%2A2%2A2%2A3%2Aa%5E4%2Ab%5E%28-3%29%29%2F%283ab%5E7%2A%28x%5E%28-2%29%29%29

-8a%5E3%2Ax%5E2%2Fb%5E10

Not all of the steps were shown.