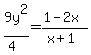
SOLUTION: 3y= 2* sq root [1-2x/(x+1)], express X in terms of y Step 1 9y^2/ ( 4) = 1-2x/(x+1) 9y^2(x+1)=4-8x Pls advise how to express x in terms of y

Algebra ->  Expressions -> SOLUTION: 3y= 2* sq root [1-2x/(x+1)], express X in terms of y Step 1 9y^2/ ( 4) = 1-2x/(x+1) 9y^2(x+1)=4-8x Pls advise how to express x in terms of y      Log On


   



Question 1026115: 3y= 2* sq root [1-2x/(x+1)], express
X in terms of y
Step 1
9y^2/ ( 4) = 1-2x/(x+1)
9y^2(x+1)=4-8x
Pls advise how to express x in terms of y

Answer by mananth(16946) About Me  (Show Source):