This Lesson (EQUATION OF A HYPERBOLA) was created by by Theo(13342)  : View Source, ShowAbout Theo:
This lesson provides an overview of the equation of a hyperbola
REFERENCES
http://www.purplemath.com/modules/hyperbola.htm
http://www.k12math.com/math-concepts/algebra/conics/hyperbola.htm
http://www.analyzemath.com/EquationHyperbola/EquationHyperbola.html
http://www.mathwarehouse.com/hyperbola/graph-equation-of-a-hyperbola.php
http://www.algebralab.org/lessons/lesson.aspx?file=algebra_conics_hyperbola.xml
http://mathworld.wolfram.com/Hyperbola.html
http://home.windstream.net/okrebs/page63.html
http://hotmath.com/hotmath_help/topics/hyperbolas.html
http://hotmath.com/hotmath_help/topics/more-on-hyperbolas.html
http://hotmath.com/help/gt/genericalg2/section_12_5.html
http://www.tpub.com/math2/18.htm
http://mathworld.wolfram.com/Hyperbola.html
http://www.suu.edu/faculty/peterson_s/math1010/11%20two.htm
GENERAL FORM OF THE EQUATION OF A HYPERBOLA
The general form of the equation of a horizontally aligned hyperbola is:
The term is subtracted from the term.
(h,k) is the center of the horizontally aligned hyperbola.
a is the distance from the center of the hyperbola to each vertex of the hyperbola.
Each vertex of the hyperbola lies on the transverse axis of the hyperbola.
The transverse axis of a horizontally aligned hyperbola is horizontal.
There is an invisible box created between the vertices of the horizontally aligned hyperbola.
2*a is the width of this invisible box.
2*b is the height of this invisible box.
2*c is the length of the diagonal of this invisible box.
The box is not part of the hyperbola. It is a construct used to show the relationships between a, b, and c.
c is also the distance between each foci of the hyperbola and the center of the hyperbola.
c is not shown in the equation of the hyperbola. It is, however, determined by the equation .
You will see how these parts interact with each other when we show you the picture of a horizontally aligned hyperbola.
The general form of the equation of a vertically aligned hyperbola is:
The term is subtracted from the term.
Notice that the a and the b terms are now reversed.
In a horizontally aligned hyperbola, the term is underneath the term.
In a vertically aligned hyperbola, the term is underneath the term.
In other words, the term is always part of the positive term in the equation.
A word of caution here. Some tutorials will show it differently. They will show the term always under the term, and the term always under the term.
In this lesson, and others that use the same approach, the term is always part of the positive term in the equation of the hyperbola, while the term is always part of the negative term in the equation of the hyperbola. This makes the term always the distance between the vertices of the hyperbola and the center of the hyperbola.
(h,k) is the center of the vertically aligned hyperbola.
a is the distance from the center of the hyperbola to each vertex of the hyperbola.
Each vertex of the hyperbola lies on the transverse axis of the hyperbola.
The transverse axis of a vertically aligned hyperbola is vertical.
There is an invisible box created between the vertices of the vertically aligned hyperbola.
2*a is the height of this invisible box.
2*b is the width of this invisible box.
2*c is the length of the diagonal of this invisible box.
The box is not part of the hyperbola. It is a construct used to show the relationships between a, b, and c.
c is also the distance between each foci of the hyperbola and the center of the hyperbola.
c is not shown in the equation of the hyperbola. It is, however, determined by the equation .
You will see how these parts relate to each other when we show you the picture of a vertically aligned hyperbola.
GRAPH OF A HORIZONTALLY ALIGNED HYPERBOLA
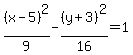
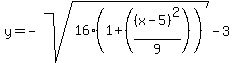
We will use the equation to show you the graph of a horizontally aligned hyperbola.
This hyperbola is horizontally aligned because the term is being subtracted from the term.
To graph this equation, we have to solve for y.
After solving for y, the equation of the hyperbola becomes and
The graph of our horizontally aligned hyperbola is shown below:
ASYMPTOTES OF A HYPERBOLA
Every hyperbola has asymptotes.
The asymptotes of a horizontally aligned hyperbola are given by the equation:
and
The asymptotes of a vertically aligned hyperbola are given by the equation:
and
The asymptote is a straight line that the curve of the hyperbola approaches but never reaches.
ASYMPTOTE OF OUR HORIZONTALLY ALIGNED HYPERBOLA
For our horizontally aligned hyperbola that we just graphed, the equation of the asymptote would be calculated as follows:
The equation of our horizontally aligned hyperbola is:
The general form of this equation is:
In our equation:
a = 3
b = 4
h = 5
k = -3
The center of our hyperbola is at (h,k) = (5,-3).
The equation for the asymptotes of a horizontally aligned hyperbola is:
and
Substituting 3 for a, 4 for b, and 5 for h, we get:
and
Since we know that these equations have to go through the center of our hyperbola, we replace x with 5 and y with -3 and solve for k.
Our equations for the asymptote of our hyperbola become:
and
Solving for k, we get:
k = -3 in both equations.
Our equations for the asymptotes of our hyperbola become:
and
The graph of our hyperbola with the asymptotes for it is shown below:
A more distant view of this graph is shown below:
In the more distant view, you can see that the curve of the hyperbola approaches the asymptotes as they extend further out.
The curve of the hyperbola will get closer and closer to the asymptotes but will never touch them.
PICTURE OF OUR HORIZONTALLY ALIGNED HYPERBOLA
A picture of the graph of our horizontally aligned hyperbola is shown below:
 |
F1 and F2 are the foci of the hyperbola.
V1 and V2 are the vertices of the hyperbola.
C is the center of the hyperbola.
a is the distance from the center of the hyperbola to each vertex of the hyperbola.
This would be from C to V1, and from C to V2.
b is the distance from the transverse axis to the top of the box.
This would be from V1 to P1, V2 to P2, V1 to P3, and V2 to P4.
c is the distance from the center of the hyperbola to each focus of the hyperbola.
This would be from C to F1, and from C to F2.
a is half the width of the box.
b is half the height of the box.
c is half the length of the diagonal of the box.
|
In the above picture, the asymptotes are the straight lines and the hyperbola is the curved lines.
Note that the diagonals of the box lie on the same line as the asymptotes of the hyperbola.
The transverse axis is the horizontal line on which the foci and vertices of the hyperbola lie.
The box is not part of the hyperbola. It is a construct used to show the relationship between the variables a, b, and c, and the asymptotes of the hyperbola.
FORMULA FOR THE DISTANCE FROM THE CENTER OF THE HYPERBOLA TO EACH FOCUS OF THE HYPERBOLA
c is the distance from the center of the hyperbola to each focus of the hyperbola.
c is also half the length of the diagonal of the box.
If you look at the picture, you will see that the length of a is equal to the line segment from C to V2.
You will also see that the length of b is equal to the line segment from V2 to P2.
You will also see that the length of c is equal to the line segment from C to P2.
These 3 line segments form a right triangle from C to P2 to V2.
c is the length of the hypotenuse of this right triangle (line segment CP2).
a is the length of the horizontal leg of this right triangle (line segment CV2)
b is the length of the vertical leg of this right triangle (line segment V2P2).
By the Pythagorean Formula:
That is the relationship between a, b, and c.
The equation for the hyperbola does not show c, but c can be calculated by using the formula:
which then becomes:
That is how we determined that the length of c was equal to 5.
PROPERTY OF A HYPERBOLA
One of the distinguishing properties of a hyperbola is that the absolute value of the difference of the distance between any point on the hyperbola and the two foci of the hyperbola will be a constant.
That constant will be 2 times a.
In our horizontally aligned hyperbola, 2 * a = 6.
In algebraic terms, assuming we picked points P5 and P6 anywhere on the surface of the hyperbola, and assuming our focal points are at F1 and F2, then:
|(P5-F1) - (P5-F2)| = |(P6-F1) - (P6-F2)| = 6
We will pick 2 points at random and calculate each distance to show that they are the same and that they are both equal to 2*a which is the distance between the vertices of the hyperbola.
d1 = distance between P5 and F1
d2 = distance between P5 and F2
P5 is at the point (10,2.33333333)
F1 is at the point (0,-3)
F2 is at the point (10,-3)
d1 = = = = 11.33333333
d2 = = = = 5.33333333
|d1-d2| = |11.33333333 - 5.33333333| = |6| = 6
d3 = distance between P6 and F1
d4 = distance between P6 and F2
P6 is at the point (-2,-11.432740427)
F1 is at the point (0,-3)
F2 is at the point (10,-3)
d3 = = = = 8.66666667
d4 = = = = 14.66666667
|d3-d4| = |8.66666667 - 14.66666667| = |-6| = 6
A picture of these points and their relationship to each other is shown below:
P5 is at the top right, P6 is at the bottom left, F1 is at the middle left, and F2 is at the middle right.
GRAPH OF A VERTICALLY ALIGNED HYPERBOLA
The general equation of a vertically aligned hyperbola is shown below:
We will use the equation to show you the graph of a vertically aligned hyperbola.
Notice that all we did was take our horizontally aligned hyperbola and switched the positions of each term. The term is now the positive term, and the term is now the negative term.
The term is now equal to 16.
The term is now equal to 9.
Note that the term is always associated with the positive term in the equation. In this case, the positive term is equal to which became .
This hyperbola is vertically aligned because the term is being subtracted from the term.
To graph this equation, we have to solve for y.
After solving for y, the equation of the hyperbola becomes and
The graph of our vertically aligned hyperbola is shown below:
ASYMPTOTES OF A HYPERBOLA
The asymptotes of a horizontally aligned hyperbola are given by the equation:
and
The asymptotes of a vertically aligned hyperbola are given by the equation:
and
ASYMPTOTE OF OUR VERTICALLY ALIGNED HYPERBOLA
For our vertically aligned hyperbola that we just graphed, the equation of the asymptote would be calculated as follows:
The equation of our vertically aligned hyperbola is:
The general form of this equation is:
In our equation:
a = 4
b = 3
h = 5
k = -3
The center of our hyperbola is at (h,k) = (5,-3).
The equation for the asymptotes of a vertically aligned hyperbola is:
and
Substituting 4 for a, 3 for b, and 5 for h, we get:
and
Since we know that these equations have to go through the center of the graph, we replace x with 5 and y with -3 and solve for k.
Our equations for the asymptote of our hyperbola become:
and
Solving for k, we get:
k = -3 in both equations.
Our equations for the asymptotes of our hyperbola become:
and
The graph of our hyperbola with the asymptotes for it is shown below:
A more distant view of this graph is shown below:
In the more distant view, you can see that the curve of the hyperbola approaches the asymptotes as they extend further out.
The curve of the hyperbola will get closer and closer to the asymptotes but will never touch them.
PICTURE OF OUR VERTICALLY ALIGNED HYPERBOLA
A picture of the graph of our vertically aligned hyperbola is shown below:
 |
F1 and F2 are the foci of the hyperbola.
V1 and V2 are the vertices of the hyperbola.
C is the center of the hyperbola.
a is the distance from the center of the hyperbola to each vertex of the hyperbola.
This would be from C to V1, and from C to V2.
b is the distance from the transverse axis to the sides of the box.
This would be from V1 to P1, V1 to P2, V2 to P3, and V2 to P4.
c is the distance from the center of the hyperbola to each focus of the hyperbola.
This would be from C to F1, and from C to F2.
a is half the height of the box.
b is half the width of the box.
c is half the length of the diagonal of the box.
|
In the above picture, the asymptotes are the straight lines and the hyperbola is the curved lines.
Note that the diagonals of the box lie on the same line as the asymptotes of the hyperbola.
The transverse axis is the vertical line on which the foci and vertices of the hyperbola lie.
The box is not part of the hyperbola. It is a construct used to show the relationship between the variables a, b, and c, and the asymptotes of the hyperbola.
FORMULA FOR THE DISTANCE FROM THE CENTER OF THE HYPERBOLA TO EACH FOCUS OF THE HYPERBOLA
c is the distance from the center of the hyperbola to each focus of the hyperbola.
c is also half the length of the diagonal of the box.
If you look at the picture, you will see that the length of a is equal to the line segment from C to V2.
You will also see that the length of b is equal to the line segment from V2 to P4.
You will also see that the length of c is equal to the line segment from C to P4.
These 3 line segments form a right triangle from C to P4 to V2.
c is the length of the hypotenuse of this right triangle (line segment CP4).
a is the length of the vertical leg of this right triangle (line segment CV2)
b is the length of the horizonal leg of this right triangle (line segment V2P4).
By the Pythagorean Formula:
That is the relationship between a, b, and c.
The equation for the hyperbola does not show c, but c can be calculated by using the formula:
which then becomes:
That is how we determined that the length of c was equal to 5.
PROPERTY OF A HYPERBOLA
One of the distinguishing properties of a hyperbola is that the absolute value of the difference of the distance between any point on the hyperbola and the two foci of the hyperbola will be a constant.
That constant will be 2 times a.
In our vertically aligned hyperbola, 2 * a = 8.
In algebraic terms, assuming we picked points P5 and P6 anywhere on the surface of the hyperbola, and assuming our focal points are at F1 and F2, then:
|(P5-F1) - (P5-F2)| = |(P6-F1) - (P6-F2)| = 8
We will pick 2 points at random and calculate each distance to show that they are the same and that they are both equal to 2*a which is the distance between the vertices of the hyperbola.
d1 = distance between P5 and F1
d2 = distance between P5 and F2
P5 is at the point (11,5.94427191)
F1 is at the point (5,2)
F2 is at the point (5,-8)
d1 = = = = 7.180339888
d2 = = = = 15.180339888
|d1-d2| = |7.180339888 - 15.180339888| = |-8| = 8
d3 = distance between P6 and F1
d4 = distance between P6 and F2
P6 is at the point (2,-8.656854249)
F1 is at the point (5,2)
F2 is at the point (5,-8)
d3 = = = = 11.071067812
d4 = = = = 3.071067812
|d3-d4| = |11.071067812 - 3.071067812| = |8| = 8
A picture of these points and their relationship to each other is shown below:
P5 is at the top right, P6 is at the bottom left, F1 is at the middle top, and F2 is at the middle bottom.
ECCENTRICITY RATIO OF A HYPERBOLA
The eccentricity ratio of a hyperbola is determined by the equation .
e will always be greater than 1 in a hyperbola because the foci of the hyperbola are always a greater distance from each other than the vertices of a hyperbola.
A hyperbola that has a flatter curve is associated with a higher value of the eccentricity ratio.
A hyperbola that has a sharper curve is associated with a lower value of the eccentricity ratio.
The following graphs will show you how this works.
GRAPH AND PICTURE OF HYPERBOLA THAT HAS A FLATTER CURVE (ECCENTRICITY RATIO IS HIGHER)
The graph and picture is based on the equation
and which makes:
a = 3
b = 13
c = = = 13.34166406.
e = c/a = = 4.447221355.
To graph this equation, solve for y to get:
and
A graph of this equation is shown below:
A picture of the graph of this equation is shown below:
GRAPH AND PICTURE OF HYPERBOLA THAT HAS A SHARPER CURVE (ECCENTRICITY RATIO IS LOWER)
The graph and picture is based on the equation
and which makes:
a = 13
b = 3
c = = = 13.34166406.
e = c/a = 13.34166406/13 = 1.026281851
To graph this equation, solve for y to get:
and
A graph of this equation is shown below:
The higher e resulted in a hyperbola that had a flatter curve. This means the branches of the hyperbola curved away from each other at a very slow rate.
The lower e resulted in a hyperbola that had a sharper curve. This means the branches of the hyperbola curved away from each other at a very high rate.
This lesson has been accessed 75389 times.
|