Question 960356: To travel from Singapore to Malacca, a distance of 280 km, a motorist finds that if he travels at an average speed of x km/h, he would have taken 20 minutes less than when he travels at an average speed of (x-8) km/h. Form an equation in x and find the time taken by the motorist if he travels at x km/h.
Found 2 solutions by josgarithmetic, lwsshak3: Answer by josgarithmetic(39631) (Show Source):
You can put this solution on YOUR website! Uniform Rates for Travel according to RT=D rate time distance.
of an hour is 20 minutes.
________________speed__________time____________distance
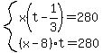
Speed x__________x_____________t-1/3___________280
Speed x-8_______x-8____________t_______________280
The two hypothetical trips are the same distance, but you find not much use in equating the expressions for the distance. You use RT=D, and make a system of two equations in x and t.
Solve the system for x. The arithmetic (or algebraic steps) should be a non-stressful chore.
Answer by lwsshak3(11628) (Show Source):
You can put this solution on YOUR website! To travel from Singapore to Malacca, a distance of 280 km, a motorist finds that if he travels at an average speed of x km/h, he would have taken 20 minutes less than when he travels at an average speed of (x-8) km/h. Form an equation in x and find the time taken by the motorist if he travels at x km/h.
***
travel time=distance/speed
20 min=1/3 hr

lcd: x(x-8)
280x-280x+2240=(x^2-8x)/3
x^2-8x-6720=0
solve for x by quadratic formula:

a=1, b=-8, c=-6720
x=86.07
x-8=78.07
280/86.07=3.25
time taken by the motorist if he travels at x km/h=3.25 hrs
|
|
|