SOLUTION: Please help. If x is not equal to y and (x^2 y^3)^3 (x^a y^2)=x^8y^(4c-1), Find the value of 2^(a+c). Thanks.
Algebra
->
Equations
-> SOLUTION: Please help. If x is not equal to y and (x^2 y^3)^3 (x^a y^2)=x^8y^(4c-1), Find the value of 2^(a+c). Thanks.
Log On
Algebra: Equations
Section
Solvers
Solvers
Lessons
Lessons
Answers archive
Answers
Click here to see ALL problems on Equations
Question 946490
:
Please help. If x is not equal to y and (x^2 y^3)^3 (x^a y^2)=x^8y^(4c-1), Find the value of 2^(a+c). Thanks.
Answer by
Fombitz(32388)
(
Show Source
):
You can
put this solution on YOUR website!
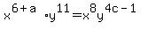
So,
and
So,