SOLUTION: I need help big time Can anyone help me I TRIED IT A FEW TIMES AND I STILL GOT IT WRONG For the given polynomial P(x)and c=1/2 use the reminder theorem to find P(c) P(x)=

Algebra ->  Equations -> SOLUTION: I need help big time Can anyone help me I TRIED IT A FEW TIMES AND I STILL GOT IT WRONG For the given polynomial P(x)and c=1/2 use the reminder theorem to find P(c) P(x)=      Log On


   



Question 925047: I need help big time Can anyone help me I TRIED IT A FEW TIMES AND I STILL GOT IT WRONG

For the given polynomial P(x)and c=1/2 use the reminder theorem to find P(c)
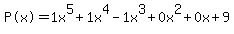
P(x)=x^5+x^4-x^3+9
P(c) for the given value of c is equal to ?____

Answer by Edwin McCravy(20066) About Me  (Show Source):
You can put this solution on YOUR website!
%22P%28x%29%22=x%5E5%2Bx%5E4-x%5E3%2B9
Write that as

%22P%28x%29%22=1x%5E5%2B1x%5E4-1x%5E3%2B0x%5E2%2B0x%2B9

0.5 | 1  1   -1      0      0        9
    |    0.5  0.75  -0.125 -0.0625  -0.03125
      1  1.5 -0.25  -0.125 -0.0625   8.96875

P(0.5) = 8.96875, or if you use fractions



That's the correct answer.  As a decimal it's
P(0.5) = 8.96875.  As a fraction it's P%281%2F2%29%22%22=%22%22287%2F32 or 8%2631%2F32 

Edwin