SOLUTION: I was asked to simplify this problem: {{{(n^3-4n^2+3n-12)/(n^2-8n+16)}}} That is N cubed - 4n squared + 3n - 12 is divided by n squared - 8n +16 Please Help!! Thanks for y

Algebra ->  Equations -> SOLUTION: I was asked to simplify this problem: {{{(n^3-4n^2+3n-12)/(n^2-8n+16)}}} That is N cubed - 4n squared + 3n - 12 is divided by n squared - 8n +16 Please Help!! Thanks for y      Log On


   



Question 91953: I was asked to simplify this problem:
%28n%5E3-4n%5E2%2B3n-12%29%2F%28n%5E2-8n%2B16%29
That is N cubed - 4n squared + 3n - 12 is divided by n squared - 8n +16
Please Help!! Thanks for your time!!

Answer by mathispowerful(115) About Me  (Show Source):
You can put this solution on YOUR website!
%28n%5E3-4n%5E2%2B3n-12%29%2F%28n%5E2-8n%2B16%29
factor each expression
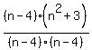
%28n%5E2%28n-4%29%2B3%28n-4%29%29%2F%28n-4%29%28n-4%29
%28n-4%29%28n%5E2%2B3%29%2F%28n-4%29%28n-4%29
cancel n-4
the result is %28n%5E2+%2B+3%29%2F%28n-4%29