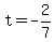
SOLUTION: Solve 7+3t=6-t/2
Algebra
->
Equations
-> SOLUTION: Solve 7+3t=6-t/2
Log On
Algebra: Equations
Section
Solvers
Solvers
Lessons
Lessons
Answers archive
Answers
Click here to see ALL problems on Equations
Question 918793
:
Solve 7+3t=6-t/2
Answer by
Fombitz(32388)
(
Show Source
):
You can
put this solution on YOUR website!
Multiply both sides by
.