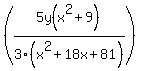
SOLUTION: 30y^2/x^2+18x+81 divided by 18y/x^2+9
Algebra
->
Equations
-> SOLUTION: 30y^2/x^2+18x+81 divided by 18y/x^2+9
Log On
Algebra: Equations
Section
Solvers
Solvers
Lessons
Lessons
Answers archive
Answers
Click here to see ALL problems on Equations
Question 899870
:
30y^2/x^2+18x+81 divided by 18y/x^2+9
Answer by
ewatrrr(24785)
(
Show Source
):
You can
put this solution on YOUR website!
simplify