SOLUTION: (x^2+9x)/(x^2-4) divided by (3x^2+6x)/(x^2+2x)
Algebra
->
Equations
-> SOLUTION: (x^2+9x)/(x^2-4) divided by (3x^2+6x)/(x^2+2x)
Log On
Algebra: Equations
Section
Solvers
Solvers
Lessons
Lessons
Answers archive
Answers
Click here to see ALL problems on Equations
Question 898659
:
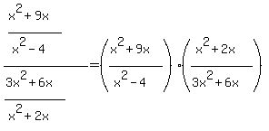
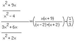
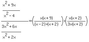
(x^2+9x)/(x^2-4) divided by (3x^2+6x)/(x^2+2x)
Answer by
Fombitz(32388)
(
Show Source
):
You can
put this solution on YOUR website!
Dividing by a fraction is equivalent to multiplying by its reciprocal.