SOLUTION: Please help me solve this problem 6x/(x^2-4)+3/(2-x) I am trying to understand the steps and how to figure it out.

Algebra ->  Equations -> SOLUTION: Please help me solve this problem 6x/(x^2-4)+3/(2-x) I am trying to understand the steps and how to figure it out.      Log On


   



Question 896224: Please help me solve this problem 6x/(x^2-4)+3/(2-x) I am trying to understand the steps and how to figure it out.
Found 2 solutions by josgarithmetic, MathTherapy:
Answer by josgarithmetic(39632) About Me  (Show Source):
You can put this solution on YOUR website!
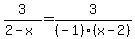
3%2F%282-x%29=3%2F%28-1%29%28x-2%29

-3%2F%28x-2%29

Raise to higher terms(?):
%28-3%2F%28x-2%29%29%28%28x%2B2%29%2F%28x%2B2%29%29

-3%28x%2B2%29%2F%28x%5E2-4%29

The entire original expression is
6x%2F%28x%5E2-4%29-3%28x%2B2%29%2F%28x%5E2-4%29

%286x-3%28x%2B2%29%29%2F%28x%5E2-4%29

%286x-3x-6%29%2F%28x%5E2-4%29

%283x-6%29%2F%28x%5E2-4%29

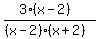
3%28x-2%29%2F%28x%5E2-4%29 which is still simplifiable.

3cross%28x-2%29%2F%28%28x%2B2%29cross%28x-2%29%29

Answer by MathTherapy(10559) About Me  (Show Source):
You can put this solution on YOUR website!

Please help me solve this problem 6x/(x^2-4)+3/(2-x) I am trying to understand the steps and how to figure it out.

This is not an equation so it CANNOT be solved. It can, however be SIMPLIFIED.
If it's the following expression: 6x%2F%28x%5E2+-+4%29+%2B+3%2F%282+-+x%29, then it can be simplified to:
6x%2F%28x%5E2+-+4%29+%2B+3%2F%282+-+x%29
6x%2F%28%28x+-+2%29%28x+%2B+2%29%29+%2B+3%2F%282+-+x%29 ---------- Factoring denominator of 1st fraction
6x%2F%28%28x+-+2%29%28x+%2B+2%29%29+%2B+%28-+1%283%29%29%2F%28-1%282+-+x%29%29 ----- Multiplying 2nd fraction by - 1
6x%2F%28%28x+-+2%29%28x+%2B+2%29%29+%2B+%28-+3%29%2F%28-+2+%2B+x%29
6x%2F%28%28x+-+2%29%28x+%2B+2%29%29+-+3%2F%28x+-+2%29
%286x+-+3%28x+%2B+2%29%29%2F%28%28x+-+2%29%28x+%2B+2%29%29 ----- Multiplying by LCD, (x - 2(x + 2)
%286x+-+3x+-+6%29%2F%28%28x+-+2%29%28x+%2B+2%29%29
%283x+-+6%29%2F%28%28x+-+2%29%28x+%2B+2%29%29
%283%28x+-+2%29%29%2F%28%28x+-+2%29%28x+%2B+2%29%29
%283cross%28%28x+-+2%29%29%29%2F%28cross%28%28x+-+2%29%29%28x+%2B+2%29%29
highlight_green%28highlight_green%283%2F%28x+%2B+2%29%29%29