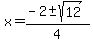
SOLUTION: solve for x: x2+2x-2=0
Algebra
->
Equations
-> SOLUTION: solve for x: x2+2x-2=0
Log On
Algebra: Equations
Section
Solvers
Solvers
Lessons
Lessons
Answers archive
Answers
Click here to see ALL problems on Equations
Question 885858
:
solve for x:
x2+2x-2=0
Answer by
basketball1127(19)
(
Show Source
):
You can
put this solution on YOUR website!
using quadratic formula,