Question 872849: My professor has taken the compound interest formula...

...and modified it to reflect annual investments. In this equation, C(t) is your cumulative sum, P is the amount invested ANNUALLY, for t years, interest rate of r (as a decimal), compounded n times per year:

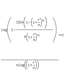
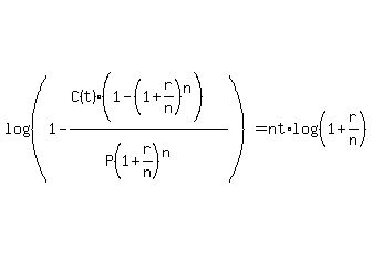
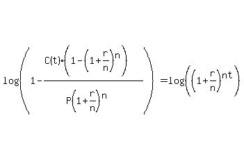
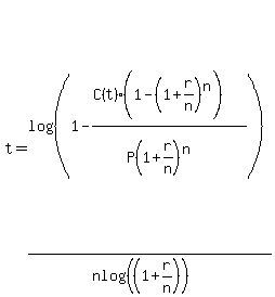
Now, I have to solve THIS equation for t. I'm getting stumped when it comes down to logs and trying to isolate t.. this is the work I've come up to so far, please let me know if I'm messing anything up. If all is correct up to this point, I don't know how to finish it!






Like I said, assuming this is correct, I'm unsure how to follow up and finish. Can I divide by again, and then by n? Or vice versa? How does that affect the logs already on the other side? Please advise!
Answer by jim_thompson5910(35256) (Show Source):
|
|
|