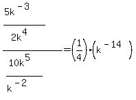
SOLUTION: 5k^-3/2k^4 / 10k^5/k^-2
Algebra
->
Equations
-> SOLUTION: 5k^-3/2k^4 / 10k^5/k^-2
Log On
Algebra: Equations
Section
Solvers
Solvers
Lessons
Lessons
Answers archive
Answers
Click here to see ALL problems on Equations
Question 850579
:
5k^-3/2k^4 / 10k^5/k^-2
Answer by
Fombitz(32388)
(
Show Source
):
You can
put this solution on YOUR website!