SOLUTION: Add. Express your answer in simplest form. x-13/x^2-x-12 + 3x-3/x^2-x-12 my answer 4/x+3

Algebra ->  Equations -> SOLUTION: Add. Express your answer in simplest form. x-13/x^2-x-12 + 3x-3/x^2-x-12 my answer 4/x+3      Log On


   



Question 84363: Add. Express your answer in simplest form.

x-13/x^2-x-12 + 3x-3/x^2-x-12
my answer 4/x+3

Answer by funmath(2933) About Me  (Show Source):
You can put this solution on YOUR website!
Add. Express your answer in simplest form.

x-13/x^2-x-12 + 3x-3/x^2-x-12
%28x-13%29%2F%28x%5E2-x-12%29%2B%283x-3%29%2F%28x%5E2-x-12%29
%28x-13%2B3x-3%29%2F%28x%5E2-x-12%29
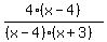
%284x-16%29%2F%28x%5E2-x-12%29
4%28x-4%29%2F%28%28x-4%29%28x%2B3%29%29
4%2F%28x%2B3%29
You're right!!!
Happy Calculating!!!