SOLUTION: Simplify each denominator . Write your answer in the simplest form 4-6i/2 2-3i/1+5i
Algebra
->
Equations
-> SOLUTION: Simplify each denominator . Write your answer in the simplest form 4-6i/2 2-3i/1+5i
Log On
Algebra: Equations
Section
Solvers
Solvers
Lessons
Lessons
Answers archive
Answers
Click here to see ALL problems on Equations
Question 830416
:
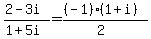
Simplify each denominator . Write your answer in the simplest form
4-6i/2
2-3i/1+5i
Answer by
Fombitz(32388)
(
Show Source
):
You can
put this solution on YOUR website!