SOLUTION: I am supposed to solve the equation by completing the square, but I am having troubles with this question. I need to have it in fraction form, not decimals. Here is the equation: s

Algebra ->  Equations -> SOLUTION: I am supposed to solve the equation by completing the square, but I am having troubles with this question. I need to have it in fraction form, not decimals. Here is the equation: s      Log On


   



Question 754841: I am supposed to solve the equation by completing the square, but I am having troubles with this question. I need to have it in fraction form, not decimals. Here is the equation: s^2+5s=-1.
Found 2 solutions by nerdybill, josgarithmetic:
Answer by nerdybill(7384) About Me  (Show Source):
You can put this solution on YOUR website!
s^2+5s=-1
add (b/2)^2 = (5/2)^2 = 25/4 to both sides:
s^2+5s+25/4=-1+25/4
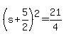
(s+5/2)^2 = -1+25/4
(s+5/2)^2 = -4/4 + 25/4
(s+5/2)^2 = 21/4
s+5/2 = +-sqrt(21/4)
s+5/2 = +-(1/2)sqrt(21)
s = -5/2 +- (1/2)sqrt(21)



Answer by josgarithmetic(39618) About Me  (Show Source):
You can put this solution on YOUR website!
s%5E2%2B5s%2B1=0
You want to know what square term to add and subtract.
That term is %285%2F2%29%5E2=25%2F4.
s%5E2%2B5s%2B25%2F4%2B1-25%2F4=0
Showing which part is the square trinomial,
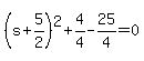
%28s%5E2%2B5s%2B25%2F4%29%2B1-25%2F4=0
%28s%2B5%2F2%29%5E2%2B4%2F4-25%2F4=0
%28s%2B5%2F2%29%5E2-21%2F4=0

You should have no trouble solving for s from there.

%28s%2B5%2F2%29%5E2=21%2F4
s%2B5%2F2=%2B-+sqrt%2821%29%2F2______without the tags, I say 5/2 plus-or-minus (1/2)*(21)^(0.5)
highlight%28s=%28-5%2B-+sqrt%2821%29%29%2F2%29