SOLUTION: Its been WAY too long since I did algebra. Trying to help my son with an equation but I just cannot remember how this stuff works...
what is the simplest form of x+3 over x3-x2-
Algebra ->
Equations
-> SOLUTION: Its been WAY too long since I did algebra. Trying to help my son with an equation but I just cannot remember how this stuff works...
what is the simplest form of x+3 over x3-x2-
Log On
Question 748833: Its been WAY too long since I did algebra. Trying to help my son with an equation but I just cannot remember how this stuff works...
what is the simplest form of x+3 over x3-x2-6x divided by x2-9 over x2+x-12?
Little help, please? Answer by ankor@dixie-net.com(22740) (Show Source):
You can put this solution on YOUR website! what is the simplest form of:
-------------
:
Remember when you divide fractions, invert the dividing fraction and Multiply *
:
Factor as much as we can *
:
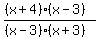
the first denominator can be factored again *
:
Cancel x+3 and x-3, in the 2nd denominator * (x+4) = ; about all you can do with it.
:
:
It's not an equation, expressions are what they are