SOLUTION: this is the problem below i need a step by step instruction as my daughter is just learning algebra. the 2x is over the 3 and the 5-x is over 4
2x = 5-x
3
Algebra ->
Equations
-> SOLUTION: this is the problem below i need a step by step instruction as my daughter is just learning algebra. the 2x is over the 3 and the 5-x is over 4
2x = 5-x
3
Log On
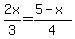
Question 711615: this is the problem below i need a step by step instruction as my daughter is just learning algebra. the 2x is over the 3 and the 5-x is over 4
You can put this solution on YOUR website! Solution: : First, cross multiply : Then distribute : Transpose -3x on the other side to simplify all x : Simplify : Divide both sides by 11 to leave x alone
Answer: 15/11