SOLUTION: solve the system by using the elimination-by-addition method 9x-6y=48 10x+5y=30

Algebra ->  Equations -> SOLUTION: solve the system by using the elimination-by-addition method 9x-6y=48 10x+5y=30      Log On


   



Question 645552: solve the system by using the elimination-by-addition method
9x-6y=48
10x+5y=30

Answer by Edwin McCravy(20065) About Me  (Show Source):
You can put this solution on YOUR website!
system%289x-6y=48%2C%22%22%2C%0D%0A10x%2B5y=30%29

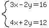
The first equation can be divided through by 3.
The second equation can be divided through by 5.

system%283x-2y=16%2C%22%22%2C%0D%0A2x%2By=6%29

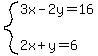
To make the y's calcel, multiply the second equation through by +2:

system%283x-2y=16%2C%22%22%2C%0D%0A4x%2B2y=12%29

Add corresponding terms:

7x = 28
 x = 4

Substitute in 2x + y = 6

2(4) + y = 6
   8 + y = 6
       y = -2

Edwin