SOLUTION: I need help finding the missing number or term to make a perfect square trinomial. (Leave answer as an improper fraction.) 1.) x^2 + 1/3x + ___. 2.)y^2 + 1/2y +____

Algebra ->  Equations -> SOLUTION: I need help finding the missing number or term to make a perfect square trinomial. (Leave answer as an improper fraction.) 1.) x^2 + 1/3x + ___. 2.)y^2 + 1/2y +____      Log On


   



Question 631534: I need help finding the missing number or term to make a perfect square trinomial. (Leave answer as an improper fraction.)
1.) x^2 + 1/3x + ___.
2.)y^2 + 1/2y +____

Answer by Tatiana_Stebko(1539) About Me  (Show Source):
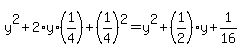
You can put this solution on YOUR website!
1.) x^2 + 1/3x + ___=x%5E2+%2B2%2Ax%2A%281%2F6%29+%2B%281%2F6%29%5E2=x%5E2+%2B+%281%2F3%29x%2B1%2F36
2.)y^2 + 1/2y +____=y%5E2+%2B+2%2Ay%2A%281%2F4%29+%2B%281%2F4%29%5E2=y%5E2+%2B+%281%2F2%29y+%2B1%2F16