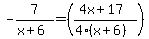
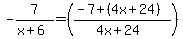
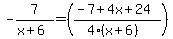
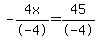
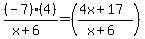
SOLUTION: {{{-7/(x+6)=(-7/(4x+24))+1}}}
Algebra
->
Equations
-> SOLUTION: {{{-7/(x+6)=(-7/(4x+24))+1}}}
Log On
Algebra: Equations
Section
Solvers
Solvers
Lessons
Lessons
Answers archive
Answers
Click here to see ALL problems on Equations
Question 625729
:
Answer by
Maths68(1474)
(
Show Source
):
You can
put this solution on YOUR website!