SOLUTION: 3x^3+24 12-3x^2 Have done: 3(x^3-8) 3(4-x^2) Not sure how to continue? Thanks for your help!

Algebra ->  Equations -> SOLUTION: 3x^3+24 12-3x^2 Have done: 3(x^3-8) 3(4-x^2) Not sure how to continue? Thanks for your help!      Log On


   



Question 607498: 3x^3+24
12-3x^2
Have done: 3(x^3-8)
3(4-x^2)
Not sure how to continue?
Thanks for your help!

Answer by nerdybill(7384) About Me  (Show Source):
You can put this solution on YOUR website!
Sum of cubes:
a%5E3+%2B+b%5E3+=+%28a%2Bb%29%28a%5E2-ab%2Bb%5E2%29
.
Factoring numerator:
3x%5E3%2B24
3%28x%5E3%2B8%29
3%28x%5E3%2B2%5E3%29
3%28x%2B2%29%28x%5E2-2x%2B2%5E2%29
3%28x%2B2%29%28x%5E2-2x%2B4%29
Factoring denominator:
12-3x%5E2
3%284-x%5E2%29
3%282%5E2-x%5E2%29
3%282-x%29%282%2Bx%29
.
So, now we can rewrite:
%283x%5E3%2B24%29%2F%2812-3x%5E2%29
as
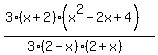
%283%28x%2B2%29%28x%5E2-2x%2B4%29%29%2F%283%282-x%29%282%2Bx%29%29
%28%28x%2B2%29%28x%5E2-2x%2B4%29%29%2F%28%282-x%29%282%2Bx%29%29
%28x%5E2-2x%2B4%29%2F%282-x%29