Let's use the quadratic formula to solve for x:
Starting with the general quadratic

the general solution using the quadratic equation is:

So lets solve ( notice , , and )
Plug in a=-6, b=6, and c=12
Square 6 to get 36
Multiply to get 
Combine like terms in the radicand (everything under the square root)
Simplify the square root (note: If you need help with simplifying the square root, check out this solver)
Multiply 2 and -6 to get -12
So now the expression breaks down into two parts
or 
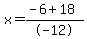
Lets look at the first part:

Add the terms in the numerator
Divide
So one answer is

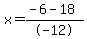
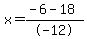
Now lets look at the second part:

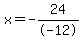
Subtract the terms in the numerator
Divide
So another answer is

So our solutions are:
or 
|