SOLUTION: i need 2 slove each equation or formula for the specified variable. 2xy=x+7 for x
Algebra
->
Equations
-> SOLUTION: i need 2 slove each equation or formula for the specified variable. 2xy=x+7 for x
Log On
Algebra: Equations
Section
Solvers
Solvers
Lessons
Lessons
Answers archive
Answers
Click here to see ALL problems on Equations
Question 51345
:
i need 2 slove each equation or formula for the specified variable.
2xy=x+7 for x
Answer by
rapaljer(4671)
(
Show Source
):
You can
put this solution on YOUR website!
First get all the x terms on one side by subtracting x from each side:
2xy = x+7
2xy - x = x+7 -x
2xy -x = 7
Next, you must get the x in one place by factoring the common factor of x:
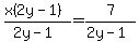
x(2y -1) = 7
Now, divide both sides by (2y-1):
R^2 at SCC