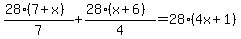
SOLUTION: (7+x)/(7)+(x+6)/(4)=4x+1

Algebra ->  Equations -> SOLUTION: (7+x)/(7)+(x+6)/(4)=4x+1      Log On