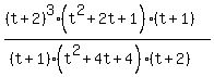
Question 42577: solve
(t+2)^3(t^2+2t+1)(t+1) over (t+1)(t^2+4t+4)(t+2)
show work Found 2 solutions by jmg, Nate:Answer by jmg(22) (Show Source):
You can put this solution on YOUR website! I am going to assume that the directions were to simplify since there is no equal sign.
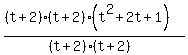
For the top line, factor the trinomial into (t + 1)(t + 1) and write out the
(t + 3) ^ 3 as (t + 2)(t+2)(t+2)
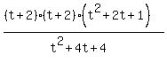
For the bottom line, factor the trinomial into (t + 2)(t + 2)
Now you have on the top line: (t+2)(t+2)(t+2)(t+1)(t+1)
And on the bottom: (t+1)(t+2)(t+2)(t+2)
Cancel out the like terms on the top and bottom (all three (t+2) and one of the (t+1)
That leaves you with t + 1 on the top and that is your answer.