SOLUTION: problem 24 in our self practice i need help complete the ordered pairs so that each is a solution for the given equation 3x +4y =12 (0, ) , ( ,3 over 4) , ( ,0) , (8 o

Algebra ->  Equations -> SOLUTION: problem 24 in our self practice i need help complete the ordered pairs so that each is a solution for the given equation 3x +4y =12 (0, ) , ( ,3 over 4) , ( ,0) , (8 o      Log On


   



Question 42175: problem 24 in our self practice i need help

complete the ordered pairs so that each is a solution for the given equation
3x +4y =12 (0, ) , ( ,3 over 4) , ( ,0) , (8 over 3, )

Answer by psbhowmick(878) About Me  (Show Source):
You can put this solution on YOUR website!
3x+%2B4y+=12
or 4y=12-3x
or y=%2812-3x%29%2F4
or y=3-3x%2F4 ________(1)

3x+%2B4y+=12
or 3x=12-4y
or x=%2812-4y%29%2F3
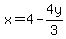
or x=4-4y%2F3 _________(2)


From (1)
When x = 0, y+=+3+-3%2A0%2F4=3
When x=8%2F3, y+=+3+-3%2A%288%2F3%29%2F4=1

From (2)
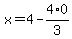
When y=0, x=4-4%2A0%2F3
When y=3%2F4, x=4-4%2A%283%2F4%29%2F3=3

Hence, the ordered pairs are:
(0,3) ; (3,3%2F4) ; (4,0) ; (8%2F3,1)