SOLUTION: Simplify (6x^5 - 48x^2)/12x^3 + 24x^2 + 48x)

Algebra ->  Equations -> SOLUTION: Simplify (6x^5 - 48x^2)/12x^3 + 24x^2 + 48x)      Log On


   



Question 366970: Simplify (6x^5 - 48x^2)/12x^3 + 24x^2 + 48x)
Answer by mananth(16946) About Me  (Show Source):
You can put this solution on YOUR website!
%28%286x%5E5+-+48x%5E2%29%2F%2812x%5E3+%2B+24x%5E2+%2B+48x%29%29
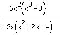
%286x%5E2%28x%5E3+-8%29%29%2F%2812x%28x%5E2+%2B+2x+%2B+4%29%29
%286x%5E2%28x+-2%29%28x%5E2%2B2x%2B4%29%29%2F%2812x%28x%5E2+%2B+2x+%2B+4%29%29
x%28x-2%29%2F2
...
m.ananth@hotmail.ca