SOLUTION: y+8=x^2+x+1. Put the equation into standard form. Find vertex and the x-intercept.

Algebra ->  Equations -> SOLUTION: y+8=x^2+x+1. Put the equation into standard form. Find vertex and the x-intercept.      Log On


   



Question 362770: y+8=x^2+x+1.
Put the equation into standard form.
Find vertex and the x-intercept.

Answer by Fombitz(32388) About Me  (Show Source):
You can put this solution on YOUR website!
y%2B8=x%5E2%2Bx%2B1
highlight%28y=x%5E2%2Bx-7%29
.
.
.
y=%28x%5E2%2Bx%29-7
y=%28x%5E2%2Bx%2B1%2F4%29-7-1%2F4
y=%28x%2B1%2F2%29%5E2-28%2F4-1%2F4
highlight%28y=%28x%2B1%2F2%29%5E2-29%2F4%29
.
.
Vertex:(-1%2F2,-29%2F4)
.
.
X-intercepts:
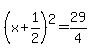
%28x%2B1%2F2%29%5E2-29%2F4=0
%28x%2B1%2F2%29%5E2=29%2F4
x%2B1%2F2=0+%2B-+sqrt%2829%29%2F2
highlight%28x=-1%2F2+%2B-+sqrt%2829%29%2F2%29