SOLUTION: 5/x+3 + 11/x-6 = 9/x^2-3x-18

Algebra ->  Equations -> SOLUTION: 5/x+3 + 11/x-6 = 9/x^2-3x-18      Log On


   



Question 355794: 5/x+3 + 11/x-6 = 9/x^2-3x-18
Answer by Fombitz(32388) About Me  (Show Source):
You can put this solution on YOUR website!
Use the common denominator, %28x-6%29%28x%2B3%29=x%5E2-3x-18.

.
.
%285%28x-6%29%2B11%28x%2B3%29-+9%29%2F%28x%5E2-3x-18%29=0
.
.
%285x-30%2B11x%2B33-9%29%2F%28x%5E2-3x-18%29=0
.
.
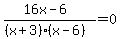
%2816x-6%29%2F%28%28x%2B3%29%28x-6%29%29=0
.
.
%282%288x-3%29%29%2F%28%28x%2B3%29%28x-6%29%29=0
One solution:
8x-3=0
8x=3
highlight%28x=3%2F8%29