SOLUTION: Hello! My college professor told me the answer to this problem. The answer is: x + y/ x - y. I do not know how to work the problem, and I need to know! The problem is 1/x + 1/y/ 1

Algebra ->  Equations -> SOLUTION: Hello! My college professor told me the answer to this problem. The answer is: x + y/ x - y. I do not know how to work the problem, and I need to know! The problem is 1/x + 1/y/ 1      Log On


   



Question 35538: Hello! My college professor told me the answer to this problem. The answer is:
x + y/ x - y. I do not know how to work the problem, and I need to know! The problem is 1/x + 1/y/ 1/y - 1/x. Please simplify the expression, and show all work. Thank you very much for the help!

Answer by elima(1433) About Me  (Show Source):
You can put this solution on YOUR website!
Bare with me and I will try to explain;
%281%2Fx+%2B+1%2Fy%29%2F%281%2Fy+-1%2Fx%29
When you add or subtract fractions you need LCD;
so we will start with the numerator;
1%2Fx%2B1%2Fy
multiply the first side by y; and the second by x;
%28y%291%2F%28y%29x%2B%28x%291%2F%28x%29y;
y%2Fxy%2Bx%2Fxy
now you have common denominators so you can add;
%28y%2Bx%29%2Fxy; now do the same thing with the denominator;
1/y -1/x
multiply the first side by x and the second by y;
%28x%291%2F%28x%29y-%28y%291%2F%28y%29x;
x%2Fxy-y%2Fxy
subtract;
%28x-y%29%2Fxy
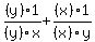
Now lets but the equation back together;
%28%28y%2Bx%29%2F%28xy%29%29%2F%28%28x-y%29%2Fxy%29
Now, when you divide fractions the second term is inversed(reciprocal), and you mulitply;
%28%28y%2Bx%29%2Fxy%29*%28xy%2F%28x-y%29%29
Now cross cancel;
%28%28x%2By%29%2Fxy%29+%2A%28xy%2F%28x-y%29%29
%28x%2By%29%2F%28x-y%29
Hope you were able to bare with me and understand
=)