SOLUTION: (1/y-1)/[2+(1/y-1)] please show how you got your answer thank you

Algebra ->  Equations -> SOLUTION: (1/y-1)/[2+(1/y-1)] please show how you got your answer thank you      Log On


   



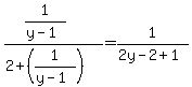
Question 346097: (1/y-1)/[2+(1/y-1)]
please show how you got your answer thank you

Answer by Fombitz(32388) About Me  (Show Source):
You can put this solution on YOUR website!
%281%2F%28y-1%29%29%2F%282%2B%281%2F%28y-1%29%29%29
Multiply numerator and denominator by %28y-1%29

%281%2F%28y-1%29%29%2F%282%2B%281%2F%28y-1%29%29%29=+1%2F%282y-2%2B1%29
%281%2F%28y-1%29%29%2F%282%2B%281%2F%28y-1%29%29%29=+highlight%281%2F%282y-1%29%29