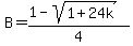
You can put this solution on YOUR website! solve the equation B = 3K / (2B-1) for the variable B.
:
B =
Multiply both sides by (2B-1)
B(2B-1) = 3k
2B^2 - B = 3k
:
A quadratic equation
2B^2 - B - 3k = 0
Use the quadratic formula
But in this problem x=B; a=2; b=-1 c=-3k
:
Two solutions
and