SOLUTION: Simplify the following a. 4xy^3/z^2 divided by (8x^2 y/z^3)^2 b. d/d^2 - 9 + 5/2d + 6

Algebra ->  Equations -> SOLUTION: Simplify the following a. 4xy^3/z^2 divided by (8x^2 y/z^3)^2 b. d/d^2 - 9 + 5/2d + 6      Log On


   



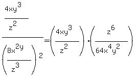
Question 340958: Simplify the following
a. 4xy^3/z^2 divided by (8x^2 y/z^3)^2
b. d/d^2 - 9 + 5/2d + 6

Answer by Fombitz(32388) About Me  (Show Source):
You can put this solution on YOUR website!
First simplify.
%288x%5E2+y%2Fz%5E3%29%5E2=%2864x%5E4y%5E2%29%2F%28z%5E6%29
Dividing by a fraction is equivalent to multiplying by its reciprocal.




.
.
.
Use the common denominator,d%5E2+-+9=%28d-3%29%28d%2B3%29
5%2F%282d+%2B+6%29=%285%2F2%29%2F%28d%2B3%29
5%2F%282d+%2B+6%29=%28%285%2F2%29%28d-3%29%29%2F%28%28d-3%29%28d%2B3%29%29
.
.
.