SOLUTION: simplify the rational expression x^2-3x-28/49-x^2
Algebra
->
Equations
-> SOLUTION: simplify the rational expression x^2-3x-28/49-x^2
Log On
Algebra: Equations
Section
Solvers
Solvers
Lessons
Lessons
Answers archive
Answers
Click here to see ALL problems on Equations
Question 335564
:
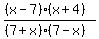
simplify the rational expression
x^2-3x-28/49-x^2
Answer by
mananth(16946)
(
Show Source
):
You can
put this solution on YOUR website!
..
..