Question 330254: solve the system of equations for real value of x and y
2x^2 - y^2 +7 =0
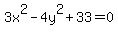
3x^2 -4y^2 +33 =0
Answer by Fombitz(32388) (Show Source):
You can put this solution on YOUR website! 1.
2.
From eq. 1,

Substitute into eq. 2,





Solve for y using eq. 1,



(-1,3),(-1,-3),(1,3),(1,-3)
.
.
.
|
|
|