SOLUTION: I have three questions that deal with area, diameter, and perimeter. I could not find a better classification to put them in so I chose this one. Thank you in advance for taking th

Algebra ->  Equations -> SOLUTION: I have three questions that deal with area, diameter, and perimeter. I could not find a better classification to put them in so I chose this one. Thank you in advance for taking th      Log On


   



Question 328038: I have three questions that deal with area, diameter, and perimeter. I could not find a better classification to put them in so I chose this one. Thank you in advance for taking the time to help me. It is greatly appreciated. The sooner I get an answer the better.
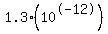
#1) Diameter of a circle. If the diameter of a circle is 1.3 X 10-12(that should read 10 to the negative 12th) meters, then what is its radius?
#2)Area of a parallelogram. Find a trinomial A(x) that represents
the area of a parallelogram whose base is 3x + 2
meters and whose height is 2x+ 3 meters. Find A(3).
#3)
Perimeter of a rectangle. The perimeter of a rectangular
backyard is 6x+ 6 yards. If the width is x yards, find a
binomial that represents the length

Answer by ankor@dixie-net.com(22740) About Me  (Show Source):
You can put this solution on YOUR website!
#1) Diameter of a circle. If the diameter of a circle is 1.3 X 10-12
(that should read 10 to the negative 12th) meters, then what is its radius?
d = 1.3%2810%5E-12%29
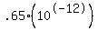
r = %281.3%2810%5E-12%29%29%2F2 = .65%2810%5E-12%29; divided 1.3 by 2
Write in scientific notation
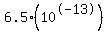
r = 6.5%2810%5E-13%29
:
:
#2)Area of a parallelogram. Find a trinomial A(x) that represents
the area of a parallelogram whose base is 3x + 2 meters and whose height is
2x+ 3 meters.
A = b*h
A = (3x+2)*(2x+3)
FOIL
A(x) = 6x^2 + 9x + 4x + 6
A(x) = 6x^2 + 13x + 6, is your trinomial
Find A(3).
A(3) = 6(3^2) + 13(3) + 6
A(3) = 6(9) + 39 + 6
A(3) = 54 + 39 + 6
A(3) = 99
:
:
#3)
Perimeter of a rectangle. The perimeter of a rectangular backyard is 6x+ 6 yards.
If the width is x yards, find a binomial that represents the length
Perimeter equation:
2L + 2W = P
In this problem:
2L + 2x = 6x+6
2L = 6x - 2x + 6
2L = 4x + 6
Divide both sides by 2
L = 2x + 3, is the length
:
:
did this make sense to you?