SOLUTION: simplify: x+3 10=0 - x^2-2x x^2-4 the first row should be on top of the second row this is one problem.

Algebra ->  Equations -> SOLUTION: simplify: x+3 10=0 - x^2-2x x^2-4 the first row should be on top of the second row this is one problem.      Log On


   



Question 317737: simplify: x+3 10=0
-
x^2-2x x^2-4 the first row should be on top of the second row this is one problem.

Answer by checkley77(12844) About Me  (Show Source):
You can put this solution on YOUR website!
x+3 10
- =0
x^2-2x x^2-4
%28x%2B3%29%2Fx%28x-2%29-10%2F%28x-2%29%28x%2B2%29=0
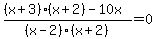
%28%28x%2B3%29%28x%2B2%29-10x%29%2F%28x-2%29%28x%2B2%29=0
%28x%5E2%2B5x%2B6-10x%29%2F%28x-2%29%28x%2B2%29=0
%28x%5E2-5x%2B6%29%2F%28x-2%29%28x%2B2%29=0
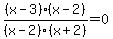
%28x-3%29%28x-2%29%2F%28x-2%29%28x%2B2%29=0
%28x-3%29%2F%28x%2B2%29 ans.