Question 317455: I am having trouble factoring trinomials. Can you help me with the following problems:1. 2a^2-a-15;2.30c^2+19c-63:3.20c^2-13c-15;5c^2+18c-35. I have been working on them for two days and can not get them factored out completely, I get so far and still get the wrong answers.
Answer by JBarnum(2146) (Show Source):
You can put this solution on YOUR website! 2a^2-a-15
| Solved by pluggable solver: SOLVE quadratic equation with variable |
Quadratic equation (in our case ) has the following solutons:

For these solutions to exist, the discriminant should not be a negative number.
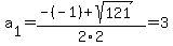
First, we need to compute the discriminant : .
Discriminant d=121 is greater than zero. That means that there are two solutions: .


Quadratic expression can be factored:

Again, the answer is: 3, -2.5.
Here's your graph:
 |
2.30c^2+19c-63
| Solved by pluggable solver: SOLVE quadratic equation with variable |
Quadratic equation (in our case ) has the following solutons:

For these solutions to exist, the discriminant should not be a negative number.
First, we need to compute the discriminant : .
Discriminant d=940.6 is greater than zero. That means that there are two solutions: .


Quadratic expression can be factored:

Again, the answer is: 2.53678321601785, -10.7976527812352.
Here's your graph:
 |
3.20c^2-13c-15
| Solved by pluggable solver: SOLVE quadratic equation with variable |
Quadratic equation (in our case ) has the following solutons:

For these solutions to exist, the discriminant should not be a negative number.
First, we need to compute the discriminant : .
Discriminant d=361 is greater than zero. That means that there are two solutions: .


Quadratic expression can be factored:

Again, the answer is: 5, -0.9375.
Here's your graph:
 |
5c^2+18c-35
| Solved by pluggable solver: SOLVE quadratic equation with variable |
Quadratic equation (in our case ) has the following solutons:

For these solutions to exist, the discriminant should not be a negative number.
First, we need to compute the discriminant : .
Discriminant d=1024 is greater than zero. That means that there are two solutions: .


Quadratic expression can be factored:

Again, the answer is: 1.4, -5.
Here's your graph:
 |
|
|
|