SOLUTION: plzzzzzzzzzz help... log(3,log(4,log(5,x)))=0
Algebra
->
Equations
-> SOLUTION: plzzzzzzzzzz help... log(3,log(4,log(5,x)))=0
Log On
Algebra: Equations
Section
Solvers
Solvers
Lessons
Lessons
Answers archive
Answers
Click here to see ALL problems on Equations
Question 202724
:
plzzzzzzzzzz help...
log(3,log(4,log(5,x)))=0
Answer by
jsmallt9(3758)
(
Show Source
):
You can
put this solution on YOUR website!
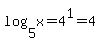
Rewriting the outer log in exponential form:
Rewriting the outer log in exponential form:
Rewriting the remaining log in exponential form: