SOLUTION: I'm having some trouble with these two functions Evaluate the function at the indicated values. (If the function does not exist at a value, enter NONE.) h(t) = t - 8/t h(

Algebra ->  Equations -> SOLUTION: I'm having some trouble with these two functions Evaluate the function at the indicated values. (If the function does not exist at a value, enter NONE.) h(t) = t - 8/t h(      Log On


   



Question 197694: I'm having some trouble with these two functions
Evaluate the function at the indicated values. (If the function does not exist at a value, enter NONE.)
h(t) = t - 8/t
h(x) = ?
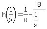
h(1/x) = ?

Answer by jim_thompson5910(35256) About Me  (Show Source):
You can put this solution on YOUR website!
Is the function h%28t%29=t-8%2Ft ???

a)

h%28t%29=t-8%2Ft Start with the given function.


h%28x%29=x-8%2Fx Plug in t=x


---------------

b)

h%28t%29=t-8%2Ft Start with the given function.


h%281%2Fx%29=1%2Fx-8%2F%281%2Fx%29 Plug in t=1%2Fx


h%281%2Fx%29=1%2Fx-8%2A%28x%2F1%29 Flip the second fraction and multiply


h%281%2Fx%29=1%2Fx-8x Multiply


h%281%2Fx%29=%281-8x%5E2%29%2Fx Combine like terms.




------------------------------------------------------------------


OR....


Is the function h%28t%29=%28t-8%29%2Ft ???

a)

h%28t%29=%28t-8%29%2Ft Start with the given function.


h%28x%29=%28x-8%29%2Fx Plug in t=x


---------------

b)

h%28t%29=%28t-8%29%2Ft Start with the given function.


h%281%2Fx%29=%281%2Fx-8%29%2F%281%2Fx%29 Plug in t=1%2Fx


Multiply EVERY term by the inner LCD "x" to clear out the inner fractions.


h%281%2Fx%29=%281-8x%29%2F1 Multiply and simplify


h%281%2Fx%29=1-8x Reduce.