SOLUTION: How do I complete the square if the sum look like this: 5x^2 - x - 2=0

Algebra ->  Equations -> SOLUTION: How do I complete the square if the sum look like this: 5x^2 - x - 2=0      Log On


   



Question 188758: How do I complete the square if the sum look like this: 5x^2 - x - 2=0
Answer by Earlsdon(6294) About Me  (Show Source):
You can put this solution on YOUR website!
Solve by completing the square:
5x%5E2-x-2+=+0 To complete the square, you need to have the x%5E2 coefficient = 1, so divide through by 5.
%285x%5E2-x-2%29%2F5+=+0 Simplify.
%281%2F5%29x%5E2-%281%2F5%29x-2%2F5+=+0 Now add 2%2F5 to both sides.
%281%2F5%29x%5E2-%281%2F5%29x+=+2%2F5 Complete the square in x by adding the square of half the x-coefficient %281%2F10%29%5E2+=+1%2F100 to both sides.
%281%2F5%29x%5E2-%281%2F5%29x%2B1%2F100+=+2%2F5+%2B+1%2F100 Factor the left side and simplify the right side.
%28x-1%2F10%29%5E2+=+41%2F100 Now take the square root of both sides.
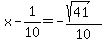
x-1%2F10+=+%28sqrt%2841%29%29%2F10 or x-1%2F10+=+-%28sqrt%2841%29%29%2F10 Add 1%2F10 to both sides of each of these.
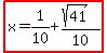
x+=+1%2F10%2B-sqrt%2841%29%2F10
highlight%28x+=+1%2F10+%2B%28sqrt%2841%29%29%2F10%29 or highlight%28x+=+1%2F10+-+%28sqrt%2841%29%29%2F10%29