SOLUTION: find an equation of the line satisfying the given conditions. give answer in slope-intercept form if possible Passing through (1,1) and parallel to y= -x/4 -2 Please with step

Algebra ->  Equations -> SOLUTION: find an equation of the line satisfying the given conditions. give answer in slope-intercept form if possible Passing through (1,1) and parallel to y= -x/4 -2 Please with step      Log On


   



Question 184701This question is from textbook mathematical analysis
: find an equation of the line satisfying the given conditions. give answer in slope-intercept form if possible
Passing through (1,1) and parallel to y= -x/4 -2
Please with steps, Thank you.
This question is from textbook mathematical analysis

Answer by jojo14344(1513) About Me  (Show Source):
You can put this solution on YOUR website!

The existing Line eqn y=%28-1%2F4%29x-2 has a Slope=m=-1%2F4
*Remember: Parallel Lines have the same Slope: m%5B1%5D=m%5B2%5D
Therefore, passing thru (1,1), via Slope-Intercept Form:y=mx%2Bb
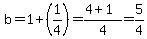
1=%28-1%2F4%29%281%29%2Bb
b=1%2B%281%2F4%29=%284%2B1%29%2F4=5%2F4, Y-Intercept
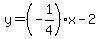
Then it follows------>highlight%28y=%28-1%2F4%29x%2B%285%2F4%29%29, Answer
We'll see:
----> RED>>>> Existing Line y=%28-1%2F4%29x-2; GREEN>>>> y=%28-1%2F4%29x%2B%285%2F4%29
Thank you,
Jojo