SOLUTION: Add and simplify: 1/x-2 - 4/x^2 + 3/x+2 Multiply and simplify: x^2-6x+8/3x+9 multiplied by x+3/x^2-4 Divide and simplify: y2+7y +10/2y-4 divided by y^2-3y-10/y-2

Algebra ->  Equations -> SOLUTION: Add and simplify: 1/x-2 - 4/x^2 + 3/x+2 Multiply and simplify: x^2-6x+8/3x+9 multiplied by x+3/x^2-4 Divide and simplify: y2+7y +10/2y-4 divided by y^2-3y-10/y-2      Log On


   



Question 149627: Add and simplify:
1/x-2 - 4/x^2 + 3/x+2
Multiply and simplify:
x^2-6x+8/3x+9 multiplied by x+3/x^2-4
Divide and simplify:
y2+7y +10/2y-4 divided by y^2-3y-10/y-2

Answer by jim_thompson5910(35256) About Me  (Show Source):
You can put this solution on YOUR website!
# 1

1%2F%28x-2%29+-+4%2F%28x%5E2%29+%2B+3%2F%28x%2B2%29 Start with the given expression.


Multiply the first term by %28x%5E2%28x%2B2%29%29%2F%28x%5E2%28x%2B2%29%29. Multiply the second term by %28%28x%2B2%29%28x-2%29%29%2F%28%28x%2B2%29%28x-2%29%29. Multiply the third term by %28x%5E2%28x-2%29%29%2F%28x%5E2%28x-2%29%29.


Combine the fractions.


FOIL the terms in the numerator.


Distribute.



Combine the fractions.


%28x%5E3%2B2x%5E2-+4x%5E2%2B16%2B3x%5E3-6x%5E2%29%2F%28x%5E2%28x%2B2%29%28x-2%29%29 Distribute


%284x%5E3-8x%5E2%2B16%29%2F%28x%5E2%28x%2B2%29%28x-2%29%29 Combine like terms.



So 1%2F%28x-2%29+-+4%2F%28x%5E2%29+%2B+3%2F%28x%2B2%29 simplifies to %284x%5E3-8x%5E2%2B16%29%2F%28x%5E2%28x%2B2%29%28x-2%29%29


In other words, where x%3C%3E-2, x%3C%3E0, or x%3C%3E2














# 2



%28%28x%5E2-6x%2B8%29%2F%283x%2B9%29%29%28%28x%2B3%29%2F%28x%5E2-4%29%29 Start with the given expression.


%28%28%28x-2%29%2A%28x-4%29%29%2F%283x%2B9%29%29%28%28x%2B3%29%2F%28x%5E2-4%29%29 Factor x%5E2-6x%2B8 to get %28x-2%29%2A%28x-4%29.


%28%28%28x-2%29%2A%28x-4%29%29%2F%283%28x%2B3%29%29%29%28%28x%2B3%29%2F%28x%5E2-4%29%29 Factor 3x%2B9 to get 3%28x%2B3%29.


Factor x%5E2-4 to get %28x-2%29%2A%28x%2B2%29.


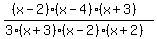
%28%28x-2%29%2A%28x-4%29%28x%2B3%29%29%2F%283%28x%2B3%29%28x-2%29%2A%28x%2B2%29%29 Combine the fractions.


Highlight the common terms.


Cancel out the common terms.


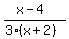
%28x-4%29%2F%283%28x%2B2%29%29 Simplify.


So %28%28x%5E2-6x%2B8%29%2F%283x%2B9%29%29%28%28x%2B3%29%2F%28x%5E2-4%29%29 simplifies to %28x-4%29%2F%283%28x%2B2%29%29.


In other words, where x%3C%3E-3, x%3C%3E-2, or x%3C%3E2






# 3



%28%28y%5E2%2B7y%2B10%29%2F%282y-4%29%29%2F%28%28y%5E2-3y-10%29%2F%28y-2%29%29 Start with the given expression.


%28%28y%5E2%2B7y%2B10%29%2F%282y-4%29%29%28%28y-2%29%2F%28y%5E2-3y-10%29%29 Multiply the first fraction %28y%5E2%2B7y%2B10%29%2F%282y-4%29 by the reciprocal of the second fraction %28y%5E2-3y-10%29%2F%28y-2%29.


%28%28%28y%2B5%29%2A%28y%2B2%29%29%2F%282y-4%29%29%28%28y-2%29%2F%28y%5E2-3y-10%29%29 Factor y%5E2%2B7y%2B10 to get %28y%2B5%29%2A%28y%2B2%29.


%28%28%28y%2B5%29%2A%28y%2B2%29%29%2F%282%28y-2%29%29%29%28%28y-2%29%2F%28y%5E2-3y-10%29%29 Factor 2y-4 to get 2%28y-2%29.


Factor y%5E2-3y-10 to get %28y%2B2%29%2A%28y-5%29.


%28%28y%2B5%29%2A%28y%2B2%29%28y-2%29%29%2F%282%28y-2%29%28y%2B2%29%2A%28y-5%29%29 Combine the fractions.


Highlight the common terms.


Cancel out the common terms.


%28y%2B5%29%2F%282%28y-5%29%29 Simplify.


So %28%28y%5E2%2B7y%2B10%29%2F%282y-4%29%29%2F%28%28y%5E2-3y-10%29%2F%28y-2%29%29 simplifies to %28y%2B5%29%2F%282%28y-5%29%29.


In other words, where y%3C%3E-2, y%3C%3E2, or y%3C%3E5