SOLUTION: Add and Simplify ((4r)/(r^2-64))+((r)/(r-8)) Thank you I really need help with this!!!

Algebra ->  Equations -> SOLUTION: Add and Simplify ((4r)/(r^2-64))+((r)/(r-8)) Thank you I really need help with this!!!      Log On


   



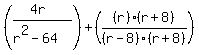
Question 144595: Add and Simplify
((4r)/(r^2-64))+((r)/(r-8))
Thank you I really need help with this!!!

Answer by Alan3354(69443) About Me  (Show Source):
You can put this solution on YOUR website!
%28%284r%29%2F%28r%5E2-64%29%29%2B%28%28r%29%2F%28r-8%29%29
Find the LCD, Least Common Denominator. It's r^2-64, since that's equal to (r-8) times (r+8).
Multiply NUM and DEN of the 2nd fraction by (r+8)
%28%284r%29%2F%28r%5E2-64%29%29%2B%28%28r%29%28r%2B8%29%2F%28r-8%29%28r%2B8%29%29
%28%284r%29%2F%28r%5E2-64%29%29%2B%28%28r%29%28r%2B8%29%2F%28r%5E2-64%29%29%29
%28%284r%29%2F%28r%5E2-64%29%29%2B%28%28r%5E2%2B8r%29%2F%28r%5E2-64%29%29%29
%284r%2Br%5E2%2B8r%29%2F%28r%5E2-64%29
%28r%5E2%2B12r%29%2F%28r%5E2-64%29