SOLUTION: Preform the indicated operations and simplify: (v-5/v-7)-(v+1/v+7)+(v-35/v^2-49) Thank you I really need help with this!!!

Algebra ->  Equations -> SOLUTION: Preform the indicated operations and simplify: (v-5/v-7)-(v+1/v+7)+(v-35/v^2-49) Thank you I really need help with this!!!      Log On


   



Question 144592: Preform the indicated operations and simplify:
(v-5/v-7)-(v+1/v+7)+(v-35/v^2-49)
Thank you I really need help with this!!!

Found 2 solutions by ankor@dixie-net.com, stanbon:
Answer by ankor@dixie-net.com(22740) About Me  (Show Source):
You can put this solution on YOUR website!
%28v-5%29%2F%28v-7%29 -%28v%2B1%29%2F%28v%2B7%29 + %28v-35%29%2F%28v%5E2-49%29
:
Factor the difference of squares:
%28v-5%29%2F%28v-7%29 -%28v%2B1%29%2F%28v%2B7%29 + %28v-35%29%2F%28%28v-7%29%28v%2B7%29%29
:
The common denominator is (v-7)(v+7)

:
FOIL
%28%28v%5E2%2B2v-35%29+-+%28v%5E2-6v-7%29+%2B+%28v-35%29%29%2F%28%28v-7%29%28v%2B7%29%29
:
%28v%5E2+%2B+2v+-+35+-+v%5E2+%2B+6v+%2B+7+%2B+v+-+35%29%2F%28%28v-7%29%28v%2B7%29%29
:
%28v%5E2+-+v%5E2+%2B+2v+%2B+6v+%2B+v+-+35+%2B+7+-+35%29%2F%28%28v-7%29%28v%2B7%29%29
;
%289v+-+63%29%2F%28%28v-7%29%28v%2B7%29%29
:
Factor:
%289%28v-7%29%29%2F%28%28v-7%29%28v%2B7%29%29
:
Cancel (v-7)
9%2F%28v%2B7%29

Answer by stanbon(75887) About Me  (Show Source):
You can put this solution on YOUR website!
Preform the indicated operations and simplify:
(v-5/v-7)-(v+1/v+7)+(v-35/v^2-49)
----------
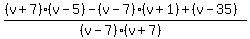
[(v-5)(v+7)-(v+1)(v-7)] / [v^2-49] + [v-35]/[v^2-49]
= [v^2+2v-35-(v^2-6v-7) + v-35] / [v^2-49]
= [9v-63]/[v^2-49]
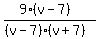
= [9(v-7)]/[v^2-49]
= 9/(v+7)
==================
Cheers,
Stan H.