SOLUTION: Which ordered pair is a solution of : 5x-2y = 12

Algebra ->  Equations -> SOLUTION: Which ordered pair is a solution of : 5x-2y = 12       Log On


   



Question 139539: Which ordered pair is a solution of : 5x-2y = 12

Answer by solver91311(24713) About Me  (Show Source):
You can put this solution on YOUR website!
In fact there are an infinite number of elements of the solution set of this equation. If you were given several ordered pairs, then test them by substituting the first number in each of the ordered pairs for x and the second number for y. Any ordered pair that results in a true statement is a solution.
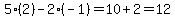
For example the point (2,-1) would be a solution because 5%282%29-2%28-1%29=10%2B2=12, but the point (0,0) is not a solution because 5%280%29-2%280%29=0%3C%3E12