SOLUTION: please help me solve given that log 10 2x- log 10 (x-4)=1 find the value of x
Algebra
->
Equations
-> SOLUTION: please help me solve given that log 10 2x- log 10 (x-4)=1 find the value of x
Log On
Algebra: Equations
Section
Solvers
Solvers
Lessons
Lessons
Answers archive
Answers
Click here to see ALL problems on Equations
Question 1182948
:
please help me solve
given that log 10 2x- log 10 (x-4)=1
find the value of x
Found 2 solutions by
robertb, MathTherapy
:
Answer by
robertb(5830)
(
Show Source
):
You can
put this solution on YOUR website!
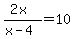
<==>
<==>
==>
<==> x = 5x - 20 ==> 20 = 4x ==> x = 5.
By direct substitution you can check that indeed x = 5 is the solution to the original equation.
Answer by
MathTherapy(10557)
(
Show Source
):
You can
put this solution on YOUR website!
please help me solve
given that log 10 2x- log 10 (x-4)=1
find the value of x
2x = 10(x - 4) ------- Cross-multiplying 2x = 10x - 40 - 10x = - 40 - 8x = - 40