SOLUTION: please help me solve {{{4x^2-2x-3=0 }}}
Algebra
->
Equations
-> SOLUTION: please help me solve {{{4x^2-2x-3=0 }}}
Log On
Algebra: Equations
Section
Solvers
Solvers
Lessons
Lessons
Answers archive
Answers
Click here to see ALL problems on Equations
Question 1182091
:
please help me solve
Answer by
MathLover1(20850)
(
Show Source
):
You can
put this solution on YOUR website!
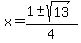
....use quadratic formula
.... in your case
,
, and
....simplify
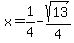
exact solutions:
approximate solutions: